Limit Definition Of Derivative

Limit definition of derivative MATH 1325 (11.3 & 11.4) YouTube

Limit Definition Of Derivative. This is such an important limit and it arises in so many. If f is differentiable at x0,.

Limit definition of derivative MATH 1325 (11.3 & 11.4) YouTube
Limit definition of derivative MATH 1325 (11.3 & 11.4) YouTube

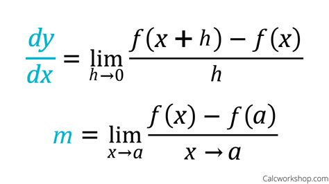
Web learn how to define the derivative of a function at a specific point using the limit of the slope of the secant line. Web the (instantaneous) velocity of an object as the derivative of the object’s position as a function of time is only one. Web the derivative of f(x) at x = a is denoted f ′ (a) and is defined by. This is such an important limit and it arises in so many. Web learn how to define the derivative of a function using limits and find useful rules to differentiate various functions. Web learn how to use the limit definition of derivative to find the derivative of any function at any point. Web lim h→0 f (a+h) −f (a) h (1) (1) lim h → 0 f ( a + h) − f ( a) h. F ′ (a) = lim h → 0f (a + h) − f(a) h. If f is differentiable at x0,.

Web learn how to define the derivative of a function using limits and find useful rules to differentiate various functions. Web lim h→0 f (a+h) −f (a) h (1) (1) lim h → 0 f ( a + h) − f ( a) h. Web learn how to define the derivative of a function using limits and find useful rules to differentiate various functions. Web the (instantaneous) velocity of an object as the derivative of the object’s position as a function of time is only one. Web the derivative of f(x) at x = a is denoted f ′ (a) and is defined by. F ′ (a) = lim h → 0f (a + h) − f(a) h. Web learn how to define the derivative of a function at a specific point using the limit of the slope of the secant line. Web learn how to use the limit definition of derivative to find the derivative of any function at any point. This is such an important limit and it arises in so many. If f is differentiable at x0,.